首先評估合成路線
通常認為NDMA來源需要同時具備二甲胺和亞硝化試劑,在雷尼替丁中發現NDMA的初始階段,一致認為是制造過程中的引入。
-
制造工藝中使用了硝基甲烷,硝基甲烷的制造可能會使用到亞硝酸鈉,而另一片段的合成使用了二甲胺,因此如果兩者殘留相遇將會產生NDMA。
-
不過二甲胺和亞硝酸胺之間相隔四個純化步驟,有的步驟還是高真空蒸餾,因此這兩者歷經萬險相遇的概率微乎其微。
-
二甲胺使用及殘留過程中如果遇到亞硝化試劑也是有可能產生NDMA,進而污染API。
二甲胺使用步驟中沒有額外的亞硝化試劑來源,而且二甲胺沸點極低,很難殘留,通過LC-HRMS對中間體檢驗,發現二甲胺的殘留均小于0.25mcg/g。
-
一些溶劑的回收使用也是有可能引入亞硝化試劑以及二甲胺,
該工藝的溶劑回收僅局限于該階段的工藝使用,不會相互交叉污染。
-
制劑的生產過程以及輔料也有可能引入二甲胺和亞硝化試劑。
制劑的生產過程評估不會引入,輔料中均不含有二、三級胺結構單元,所有的輔料都不存在大量引入亞硝化試劑的可能(水中有痕量)。
-
本身降解的二甲胺可能會產生NDMA。
通過雜質和降解研究發現,雷尼替丁中的二甲胺均沒有失掉。
通過以上信息可知:雷尼替丁中的NDMA不是工藝過程引入,也不是降解的二甲胺氧化或者和其他亞硝化試劑共存產生。
其次調查真實產生原因
檢測了不同批次的NDMA含量,這些藥物是2010~2019年生產得到。
分析結果得到:
-
NDMA的含量和制造日期有聯系,生產日期越早相應的NDMA含量越大
-
原料藥中的含量高于制劑中含量,而且同一批次原料藥制備成制劑,NDMA的生成速率也會降低
短期穩定性研究
通過7天的加速實驗發現供應商的兩種工藝間存在差異,生成NDMA的速率相差很大,而這兩種工藝唯一的不同點就是成鹽和重結晶。
因此需要研究重結晶工藝的影響。
物理性質的測定
通過XRD檢測兩種工藝的物料晶型一致,但是通過SEM觀察微觀晶體形態發現了差異:
工藝1的晶體外觀為不規則小球狀,而工藝2得到的晶癖為柱形。
工藝1得到的不規則小球容易吸附水分,具有較低的分解溫度。
通過固態核磁分析兩種工藝中使用的溶劑均是在晶體外圍,沒有嵌入到晶格中,工藝1得到的小球外圍殘留了更多的溶劑。
加速穩定性研究
研究了溫度和濕度對兩種工藝得到的原料藥穩定性的影響。
結論是:
-
溫度和相對濕度的升高都增加了NDMA的形成速度。
-
柱狀晶在低相對濕度下更穩定,但在較高相對濕度下與水的相互作用導致NDMA的生成速率增加。
綜合以上數據分析
-
雷尼替丁的結晶控制以及晶癖是雷尼替丁中NDMA形成速度的關鍵因素。
-
由于不規則晶癖容易吸附水分,導致NDMA生成速率增加,而根據數據發現,水分是促進NDMA生成的因素。
不過仍舊沒有解決NDMA產生的原因,需要繼續調查:
與雜質反應的假設
肟類雜質在理論上可以提供亞硝化試劑,因此研究了藥典中的雜質G。
不過使用含雜質G較高的批次進行穩定性考察,發現雜質G并沒有加速NDMA生成。
而且加入亞硝酸鈉或者亞硝酸可以發現生成主要的是降解產物,只有極少量的NDMA。
結論是:無論是肟類還是亞硝酸鈉作為雜質引入,都不被認為是降解產生NDMA的主要原因。
同位素標記研究
制備氘代的雷尼替丁樣品1;

制備了氘代雷尼替丁和雷尼替丁混合樣品2。
兩種物料均是柱狀形態。
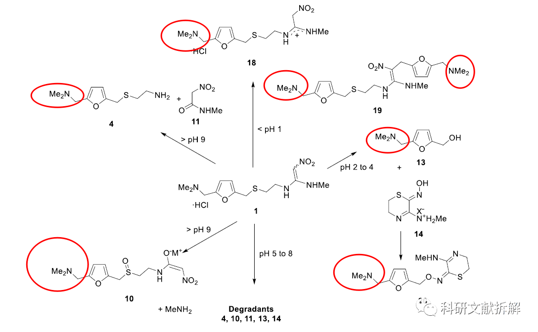
純氘代樣品1通過降解實驗只得到M+7分子量的NDMA,說明NDMA是結構中的二甲胺和硝基降解到得到,沒有外源的二甲胺和亞硝酸試劑導致NDMA產生。
混合樣品2降解得到四種分子量的NDMA:M+0,M+1,M+6,M+7,說明分子間反應也會發生。
因此雷尼替丁中的NDMA產生途徑是:藥物結構中的硝基和二甲胺反應產生,至于反應機理,作者說還沒有研究明白。
不過一些含有硝基結構的化合物作為亞硝化試劑已經被研究,比如溴代硝基甲烷、三氯硝基甲烷和四硝基甲烷等等。
想繼續探究機理的可以參考上文:史上最全 亞硝胺基毒的全部產生途徑和機理
這一通推理確實過癮,不過含有這些基團的藥物估計都已經躲在角落瑟瑟發抖了,哦,不對,是藥企。
參考文獻:RanitidineInvestigations into the Root Cause for the Presence of N?Nitroso?N,N?dimethylamine in Ranitidine Hydrochloride Drug Substances and Associated Drug Products
DoI:10.1021/acs.oprd.0c00462

